黄晶副教授团队论文被CCF A国际会议DAC录用
时间:2025-03-07 访问量:
近日,第62届国际学术会议DAC(CCF A)公布了论文录用结果,tapplay官网黄晶研究团队提交的论文Construction of DAG Models for Autonomous Systems成功被接收。该会议将于2025年在美国旧金山举行。
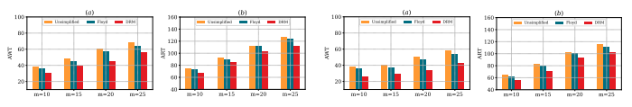
论文Construction of DAG Models for Autonomous Systems由国家自然科学重点基金(no. U2468205)资助。该论文针对传统调度算法已很难让计算系统性能突破这一问题,提出从任务模型的新角度探讨通过优化DAG模型,以提升任务执行的效率。论文中提出了一种新的形式化拓扑方法以及相对应的结构化简法。实验表明,该工作能显著减少系统的响应时间。通过与现有算法对比,所提出的优化方法能够显著缩短平均端到端响应时间。该工作为自动化系统计算性能的突破提供了新的思维和方法。
DAC是计算机领域的顶级会议,本年度DAC会议论文录用率为23%,共录用420篇。这也是tapplay官网计算机学院在该领域首次作为第一作者单位在CCF A类会议上发表论文。
黄晶研究团队致力于CPS系统的任务建模与调度研究,近年来在IEEE TC、IEEE TCAD、IEEE TSUSC、emsoft等学术会议和学术期刊发表数篇论文。



